Plano de Cortes y Elevaciones
El plano presenta una estructura organizada en cortes y elevaciones que permiten una comprensión detallada de la distribución vertical y los niveles funcionales de la edificación.
Cortes
Corte A-A:
- Muestra la relación entre los niveles y los espacios principales, desde la planta baja hasta el tanque elevado.
- En la planta baja (N.P.T. +0.00) se encuentran áreas comerciales, ingreso, limpieza y un depósito, conectadas por escaleras.
- En el nivel intermedio (N.P.T. +3.20), se ubican el recibo, sala y un balcón, destacando áreas residenciales.
- En el nivel superior (N.P.T. +6.00), aparecen la lavandería y tendal, culminando en la azotea con un tanque elevado (N.P.T. +8.00).
Corte B-B:
- Refleja el desarrollo longitudinal de la edificación, destacando espacios de comercio en la planta baja, conectados con áreas residenciales y de servicio en niveles superiores.
- Incluye acceso a escaleras de gato para mantenimiento del tanque cisterna y el tanque elevado.
Elevaciones
Elevación Frontal:
- Proporciona una vista completa de la fachada, mostrando los niveles principales:
- Planta Baja: Comercio e ingreso principal.
- Nivel Intermedio: Recibo, sala y balcón, enfatizando la conexión visual con el exterior.
- Nivel Superior: Lavandería, tendal y tanque elevado, accesibles desde la azotea.
Detalles Importantes:
- Niveles de Piso Terminado (N.P.T.): Claramente definidos (+0.00, +3.20, +6.00, +8.00) para comprender la progresión vertical.
- Tanques: Se especifican el tanque cisterna en la planta baja y el tanque elevado en la azotea.
- Escalera de Gato: Diseñada para facilitar el acceso seguro al tanque elevado.
Plano en Planta y Distribución 6.00 m x 20.00 m:
El plano en planta muestra la distribución de espacios en una vivienda organizada de manera funcional para aprovechar al máximo el área disponible. A continuación, se describen los espacios clave y su ubicación:
Espacios Comunes:
- Sala y Comedor:
Están ubicados como áreas principales para la interacción social. El comedor está conectado a la cocina, facilitando la circulación y el uso práctico. - Comedor de Diario:
Un espacio más informal, cerca de la cocina, ideal para comidas rápidas o familiares. - Cocina:
Ubicada estratégicamente para una fácil conexión con el comedor y el área de lavandería. - Baño:
Hay baños distribuidos estratégicamente cerca de las áreas comunes y privadas, algunos con acabados de cerámico de 0.20x0.20 y otros de 0.30x0.30 para diferenciarlos en estilo y uso.
Áreas Privadas:
- Dormitorios:
La vivienda cuenta con múltiples dormitorios, distribuidos para mayor privacidad. Algunos están agrupados cerca de un hall, mientras que otros están más alejados para ofrecer tranquilidad. - Estudio y Almacén:
Espacios adicionales que pueden utilizarse para trabajar o almacenar, ubicados en áreas secundarias de la vivienda.
Áreas de Servicio:
- Cuarto de Lavandería:
Cercano a la cocina para facilitar las tareas domésticas. - Baños Adicionales:
Los baños secundarios están pensados para dar servicio a las áreas privadas y de servicio.
Áreas Exteriores:
- Jardín:
Ubicado probablemente en la parte frontal o trasera, brindando un espacio verde para actividades al aire libre y contacto con la naturaleza.
Materiales Destacados:
- Se menciona el uso de cerámico en distintas dimensiones (0.30x0.30 y 0.20x0.20), lo que sugiere acabados modernos y fáciles de mantener, ideales para baños y áreas de cocina.
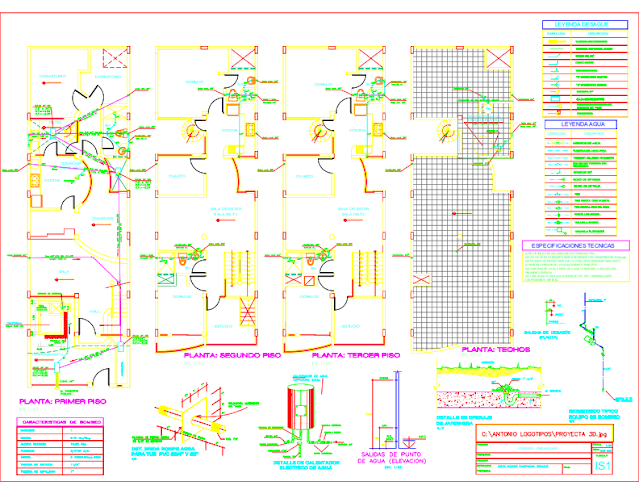
Plano de Instalaciones Sanitarias
El plano de instalaciones sanitarias muestra un sistema completo y funcional para el suministro y distribución de agua fría y caliente, desagüe, ventilación, y almacenamiento.
Componentes Principales
Suministro de Agua:
- Redes internas de agua fría realizadas con tuberías de PVC clase 10 y conexiones adecuadas (codos, tees).
- Agua fría ingresa desde la red de SEDAPAL hacia una cisterna y se impulsa al tanque elevado mediante una electrobomba de 0.5 HP.
Distribución de Agua:
- Desde el tanque elevado, el agua se distribuye por tuberías de PVC (Ø3/4", Ø1/2") hacia baños, cocina, y grifos.
- Agua caliente es proporcionada por un calentador eléctrico conectado a la red mediante tuberías de CPVC clase 10.
Sistema de Desagüe y Ventilación:
- Tuberías de desagüe de PVC Ø2" conectadas a ductos principales, con sistemas de ventilación para prevenir obstrucciones.
- Fosa de sedimentación diseñada para recolectar sólidos antes de la descarga al sistema.
Elementos de Almacenamiento:
- Cisterna con capacidad de 3.00 m³ y tanque elevado de 1.50 m³, ambos con detalles técnicos de tapa, brida rompe-agua, y válvulas de llenado y compuerta.
- Detalles incluyen rejillas, flotadores, y sellos hidráulicos geosintéticos para prevenir fugas.
Control Automático:
- Sistema automatizado para el control del llenado y parada de la bomba, garantizando un suministro constante y seguro.
Plano de Instalaciones Eléctricas
Plano de instalaciones eléctricas describe el diseño y distribución de los sistemas eléctricos en una vivienda unifamiliar con comercio, abarcando los siguientes aspectos principales:
Sistema de Alumbrado y Tomacorrientes:
- Incluye circuitos para alumbrado y tomacorrientes distribuidos en los diferentes niveles (primer piso, segundo piso, y azotea).
- Los conductores utilizados son de cobre electrolítico con aislamiento PVC tipo termoplástico (TW), con secciones mínimas de 2.5 mm².
- Se especifican las tuberías de PVC empotradas en techo, pared, y piso, de acuerdo con el diagrama unifilar.
Circuitos Especializados:
- Circuitos para equipos específicos como cocina eléctrica, calentador eléctrico, lavadora/secadora, y electrobomba.
- Uso de tuberías y conductores de mayor capacidad (e.g., conductores de 10 mm² y 6 mm² con tuberías de 25 mm Ø).
Protección y Distribución:
- Los tableros de distribución están diseñados para empotrarse en la pared, usando interruptores termomagnéticos con los valores de amperaje especificados en el diagrama.
- Cada circuito cuenta con su respectiva protección en el tablero, clasificados por tipo de carga (alumbrado, tomacorrientes, equipos eléctricos).
Sistema de Puesta a Tierra:
- Incluye un detalle técnico del pozo de tierra con varilla de cobre de 15 mm Ø y 3 m de longitud, conectada mediante soldadura Cadweld.
- Uso de conductores de tierra de cobre desnudo, combinado con materiales como sulfato de magnesio para mejorar la conductividad del terreno.
Simbolización y Leyenda:
- Se utiliza una simbología estandarizada para representar tomacorrientes, salidas de alumbrado, interruptores, y puntos de conexión.
- La leyenda explica las especificaciones técnicas de las cajas, tuberías, y dispositivos eléctricos.
Carga Eléctrica Total:
- Presenta cuadros de carga por nivel, detallando los consumos estimados en watts para alumbrado y equipos eléctricos.
- Incluye la capacidad de carga total y recomendaciones para contratar la energía necesaria.
Plano de Estructuras 1
l plano de estructuras presentado describe los detalles constructivos de una vivienda unifamiliar con comercio. A continuación, se resumen los elementos más relevantes:
Cimentación:
- Detalla zapatas y vigas de cimentación con especificaciones sobre dimensiones y ubicaciones.
- Indica el uso de juntas de dilatación con tecnoport de 1” para absorber movimientos estructurales.
- Especifica un relleno de piedra partida de diámetro máximo 1” como base de soporte.
Columnas y Vigas:
- Incluye un cuadro de columnas con dimensiones y posiciones exactas.
- Detalla las conexiones entre columnas y vigas, asegurando rigidez y estabilidad estructural.
Tanque Elevado y Cisterna:
- Presenta los detalles constructivos para el tanque elevado y la cisterna, incluyendo tapas sanitarias, rejillas y fosa de sedimentación.
- Se especifican las dimensiones de elementos como la escalera de gato y los sumideros.
Escaleras:
- Incluye detalles de diseño para las escaleras, con dimensiones y pendientes necesarias para cumplir con los estándares de seguridad.
Otros elementos:
- Detalla estructuras específicas como rejillas, tapas de concreto, y sistemas de drenaje.
- Especifica pendientes del 3% para el adecuado desagüe de aguas pluviales.
Plano de Estructuras 2
El plano de estructuras 2 se enfoca en los detalles del sistema de aligerado de la edificación, describiendo los elementos principales que conforman los pisos de la vivienda unifamiliar con comercio. A continuación, se destacan sus características:
Sistema Aligerado:
- Se especifican vigas principales y secundarias (VI-1 a VI-9, VA, y VB) con sus dimensiones estándar, como VA (.30x.55) 4Ø 1/2", incluyendo barras de temperatura de 1/4" con separación de 0.25 m en ambos extremos.
- Detalla los refuerzos necesarios para soportar las cargas distribuidas.
Disposición de Elementos:
- Identificación y ubicación de columnas (C-1, C-2, C-8, C-9) en conjunto con las vigas.
- Dimensiones de elementos estructurales horizontales y su distribución en el primer y segundo piso.
Espesores y Longitudes:
- Incluye espesores y longitudes de losas aligeradas, detallando dimensiones específicas como .70 m, .95 m, y .50 m, según las necesidades estructurales y arquitectónicas.
Notas Técnicas:
- Indicaciones sobre el armado de las vigas, como diámetros de refuerzo y especificaciones técnicas.
- Secciones y pendientes relacionadas con la distribución de las cargas.
























